이전 포스트에서 Diversity를 확보하기 위한 방법인 SIMO 시스템에서의 통신 방법을 공부했다.
이번 포스트에서는 SIMO의 반대 경우로, 송신 안테나 여러개에 수신 안테나가 하나인 MISO 시스템에 대해 공부한다.
SIMO 시스템에서 하나의 time index에 하나의 안테나에서 동일한 코드를 전송함으로서 Repitition code를 Antenna Diversity 시점에서 구현하는 방법을 공부했다. 이는 MISO 시스템에서도 구현이 가능하지만, 자유도 측면에서 효율적인 방법은 아니기 때문에, MISO 시스템에서 조금 더 효율적인 방법인 Alamouti scheme에 대해 공부한다.

1. Alamouti scheme
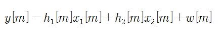
간단하게 설명하기 위해 송신 안테나가 두 개 라고 가정하고, flat fading을 가정한다. 이때 Alamouti scheme의 I/O 표현식은 아래와 같아진다:

식을 살펴보면 channel gain h1, h2가 같은 time index m을 가지는 것을 알 수 있는데, 이로부터 Alamouti scheme의 경우 Repitition code의 구현과는 달리 모든 시간대에 모든 안테나가 동작함을 알 수 있다.
조금 더 자세하게, (송신 안테나가 두개인)Alamouti scheme의 경우 두번의 time동안 두개의 복소수 symbol을 전송한다.(즉 constellation의 원소는 2차원 복소수 벡터이다.)
L번이 time index동안 L개의 symbol을 전송하는 것은 Repetition code와 동일하지만, Alamouti scheme의 경우 복소수 symbol을 전송하기 때문에 자유도 측면에서 조금 더 효율적인 방법임을 확인할수 있다.
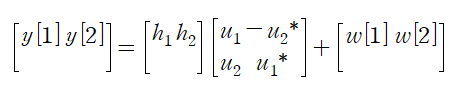
구체적으로 Alamouti scheme에서 두개의 복소수 symbol u1, u2를 전송하는 괴정은 다음과 같다:
m=1인 시간에서 송신안테나는 x1[1]=u1, x2[1]=u2를 전송하고, m=2인 시간에서 x1[2]=-u2*, x2[2]=u1* 을 전송하게 된다. 여기서 두 time index간 시간 차이가 충분히 작아 channel gain이 일정하다고 가정하면 I/O 모델을 다음과 같이 표현할수 있다:

수신단 y 입장에서 두 개의 복소수 symbol u1, u2를 detect 해야 하기 때문에 위의 식과 동치인 표현식을 새로 찾으면 다음과 같은데,

두 번째 2 by 2 행렬의 각 column이 서로 직교하기 때문에, 두 column에 의해 span되는 basis를 가지고 2차원 벡터공간(2차원 직교좌표계)를 구성할수 있고, 좌변의 수신받은 벡터 y를 각각의 기저벡터에 사영함으로서 각 symbol u1, u2에 대해 scalar detection을 적용할수 있게 된다.

2. Criterion for Space-Time code Design
Space-Time code(STC)란 다중 송신 안테나 시스템에서 Diversity를 확보 가능하게 하는 변조 방법, 코딩 기법을 말한다.1 (1절에서 공부한 Alamouti scheme 또한 STC의 한 종류이다)
이 절에서는 특정 변조 방법에 대한 설명이 아닌 STC design 전체에 대한 내용을 공부한다.
먼저, Space(antenna), Time(time index) 각각에 걸쳐 특정 symbol을 전송할 때 , 전송하는 symbol 은 아래와 같은 행렬로 구성할수 있다:

codeword matrix의 크기 L by N 에서 L은 송신 안테나의 개수, N은 전체 code의 길이를 나타낸다. 또한 각 m행 n열의 원소는 m번째 antenna에서 n번째 time index에 전송되는 단일 symbol을 의미한다. 이 표현법을 사용하여 두 가지 예시를 들면 아래와 같다:
| 2 - 1 Alamouti | 2 - 1 Repetiton |
![]() |
![]() |
이제 STC design을 일반화하여 표현해보자. 편의를 위해 SNR=1/N0 로 가정하고, L개의 송신 안테나와 길이 N의 code를 가지는 통신 시스템의 I/O model은 다음과 같이 표현된다:

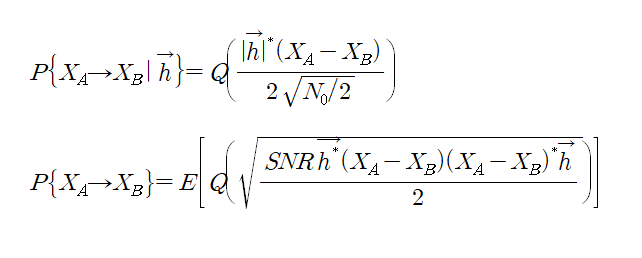
이제 STC design의 에러 발생 확률을 찾을 수 있다. Rotation Code에서 사용했던 방법과 마찬가지로 pairwise error probability를 먼저 구한 다음 전체 에러 발생 확률을 계산한다.
먼저 두 symbol Xa와 Xb에 대해 에러 발생 확률을 구하면:

여기서 행렬

은 에르미트 행렬이고(켤레복소수 대칭행렬) 자유도를 최대화하기 위해 설계된 code이므로 full rank를 가질 것이다. 따라서 복소수 대각화가 가능하며, 아래와 같이 나타난다:

이를 사용하여 pairwise error probability를 재작성하면:

h가 Rayleigh 분포를 따른다면, h가 circuluar symmetric 이므로 시그마 내부의 U*h 는 원래의 channel gain h와 같은 분포를 가지게 된다. 따라서 이는

로 쓸수 있으며, 마지막 식의 분모에 있는 determinant 중 가장 작은 값을(각각의 pair를 비교) coding gain 이라고 한다.
'개인공부 > Wireless Comm.' 카테고리의 다른 글
| Antenna Diversity, SIMO (0) | 2022.02.07 |
|---|---|
| Time Diversity, Rotation code(coherent detection) (0) | 2022.02.04 |
| Time Diversity, non coherent detection: Orthogonal modulation (0) | 2022.01.30 |
| Time Diversity, Coherent detection (0) | 2022.01.17 |
| BPSK to QPSK : exploting the degress of freedom (0) | 2022.01.13 |

