이전 포스트 Detection in Rayleigh fading channel, Deep fading (tistory.com) 의 3. Performance Comparison 파트에서 무선통신의 성능(performance)은 각 path의 fading이 dominant하게 관여한다고 공부했다. 또한 각 경로의 fading은 독립적으로 작용한다.
1. Diversity
제대로 이해를 한건지 모르겠어서 Diversity에 대한 교재의 원문을 가져오면:
...A natural solution to improve the performance is to ensure that the information symbols pass through multiple signal paths, each of which fades independently, making sure that reliable communication is possible as long as one of the paths is strong. This technique is called diversity.
즉 통신 시스템의 신뢰성을 보장하기 위해(성능을 향상시키기 위해), 여러가지 독립적인 경로로부터 도달한 신호 중 가장 강력한 하나의 신호를 선택하고1, 이러한 방법을 Diversity 라고 한다.
성능 향상을 위한 Diversity 기법은 여러 가지가 있으며, 이번 포스트에서는 Time Diversity에 대해서 공부한다.
2. Time Diversity
통신의 신뢰성을 높이기 위한 방법 중의 하나로 time diversity라는 것이 있다. 정보 전송 시 연속한 Coherence Time에 동일한 symbol을 전송하는 방법(interleaving)이며, 동일한 symbol의 개수를 diversity branches라고 한다.

특정 Interval에서 너무 낮은 세기의 신호가 수신되었지만, time diversity 기법을 적용하여 나머지 interval에서 수신받은 정보를 통해 원래 수신하고자 했던 정보를 알수 있다.
3. Cohernet detection
통신시스템의 receiver가 channel gain h[m]에 대한 정보를 완벽히 알고 있으며, 이러한 가정하에 이루어지는 detection을 coherent detection 이라고 한다.
4. Coherent detection: Repitition Coding
Time Diversity의 간단한 예시로 Repition Coding 이라는 개념이 있다. coherent detection을 가정한다.
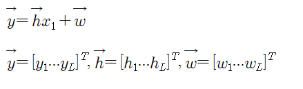
먼저 flat fading channel의 l번째 path에 대한 I/O 관계식이 다음과 같이 주어진다고 하자:

co이를 사용하여 L개의 단위시간동안 길이가 L인 codeword vector [x_1, x_2, ... ,x_n]를 전송한다고 할 때(하나의 time index에 하나의 원소 전송. 벡터 전체를 전송하는게 아님), codeword vector의 모든 원소를 동일하게 하는 것을 Repitition Coding 이라고 한다. 즉 모든 l에 대하여 x_l = x_1이며 채널 전체의 I/O 표현식이 다음과 같이 표현된다:

coherent detection 상황이므로 receiver가 channel gain h를 완벽하게 알고 있다. Scalar Detection을 사용하기 위해 다음과 같은 과정을 거친다.

receiver가 channel gain을 알고 있기 때문에 다음과 같은 처리(송신신호에 대한 스케일링, 위상 동기화)2가 가능하고 이를 가능하게 하는 receiver 구조를 Matched filter혹은 coherent combining이라고 한다.
좀더 구체화하기 위해 Rayleigh fading이 발생하는 BPSK modulation을 고려해보자.
BPSK이므로 송신신호 x_1 = +-a 라고 가정하고, 전체 channel의 에러 발생 확률을 branch L에 대한 함수로 나타내 보면:
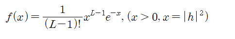
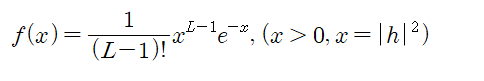
channel gain h의 원소들이 복소수로 이루어져 있으므로 이는 2L개의 서로 독립인 실수 Gaussinan r.v. 의 절댓값의 제곱의 합이다. 따라서 이는 자유도 2L의 카이제곱분포를 따르고, pdf는 다음과 같다:


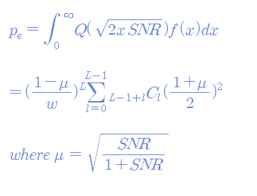
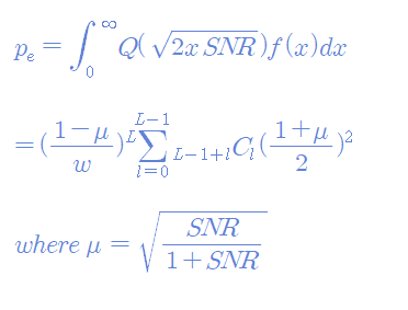
pdf를 사용하여 branch L인 channel의 평균 에러 발생 확률을 구하면:

이다.(자세한 증명은 연습문제에서) 마지막으로 다양한 L값에 대해 p_e - SNR 그래프를 로그스케일로 그리면 다음과 같다:

High SNR에서 L값이 증가함에 따라 에러 발생 확률 또한 유의미하게 낮아짐을 알 수 있다.
참고 자료:
Diversity scheme - Wikipedia
From Wikipedia, the free encyclopedia Jump to navigation Jump to search Methods to improve communications reliability Terrestrial microwave radio system with two antenna arrays configured for space-diversity In telecommunications, a diversity scheme refers
en.wikipedia.org
Multipath propagation - Wikipedia
Multipath propagation - Wikipedia
In radio communication, multipath is the propagation phenomenon that results in radio signals reaching the receiving antenna by two or more paths. Causes of multipath include atmospheric ducting, ionospheric reflection and refraction, and reflection from w
en.wikipedia.org
[통신이론] 3_2 Coherent Detec.. : 네이버블로그 (naver.com)
[통신이론] 3_2 Coherent Detection(Costas Receiver) [OpenMymajor]
이 게시판은 전공지식을 공유하는 공간입니다. Open My Major 라는 운동인데요, Open My Major 란? ...
blog.naver.com
카이제곱 분포 - 위키백과, 우리 모두의 백과사전 (wikipedia.org)
카이제곱 분포 - 위키백과, 우리 모두의 백과사전
카이제곱 분포(χ제곱分布, 영어: chi-squared distribution) 또는 χ2 분포는 k {\displaystyle k} 개의 서로 독립적인 표준정규 확률변수를 각각 제곱한 다음 합해서 얻어지는 분포이다. 이 때 k를 자유도라고
ko.wikipedia.org
'개인공부 > Wireless Comm.' 카테고리의 다른 글
| Time Diversity, Rotation code(coherent detection) (0) | 2022.02.04 |
|---|---|
| Time Diversity, non coherent detection: Orthogonal modulation (0) | 2022.01.30 |
| BPSK to QPSK : exploting the degress of freedom (0) | 2022.01.13 |
| Detection in Rayleigh fading channel, Deep fading (0) | 2022.01.13 |
| [배경지식]BPSK, QPSK (0) | 2022.01.12 |