이번 포스트에서는 Appendix에서 배운 Detection 개념이 실제 무선통신 모델에서 어떻게 적용되는지를 공부한다.
1. AWGN, no fading channel
single tap을 가지며 페이딩이 없고(즉 h=1 이라 송신신호에 영향을 주지 않는), Gaussian Noise에 의한 영향만을 받는 channel을 고려한다.

처음이니까 쉽게 하기 위해 채널이 BPSK modulation을 사용한다고 하면, 추가적인 조건을 확정할수 있다:

channel에서 사용하는 constellation이 실수이기 때문에 noise는 분산이 N/2인 정규분포를 따른다.
따라서 이는 각 symbol이 +-a 인 Scalar Detection 문제로 볼 수 있으며, 이를 공식에 대입함으로서 해당 채널에서의 에러 발생 확률을 찾을 수 있다.

여기서 좀 더 간단한 해석을 위해 새로운 물리량 SNR(signal-to-noise ratio)를 정의한다.

이때 BPSK channel에서 SNR 값은

이고, error probabilty를 SNR에 대한 식으로 정리하면 다음과 같다:

Q-function Q(x)는 x>0 인 구간에서 항상 exp(-x^2 / 2)보다 작기 때문에, AWGN channel에서 error probability는 SNR에 대한 지수 감소 함수라고 볼 수 있다.
2. Rayleigh fading channel
여기서는 위에서 공부한 AWGN channel에서 페이딩이 존재하는(즉 h가 time index m에 대한 함수인)상황을 고려한다.
이제 impulse responce h[m]은 복소수 값을 가질수 있으며, 채널의 표현식은 다음과 같다:

여전히 constellation이 실수 값만 가지기 때문에 모델의 실수부만 가지고 Detection이 가능하다. 이 과정을 위해 새로운 I/O 모델을 정의한다.

channel의 표현이 1에서 다루었던 것과 매우 유사해졌기 때문에, |h|x = u로 치환하여 Rayleigh fading channel에서의 error probability를 계산할수 있다. (constellation이 +- a|h|인 상황으로 생각하자.)

하지만 표현식에서 |h|가 random variable이기 때문에 깔끔하게 상수로 나오지 않는다. 따라서 양변에 Expectation을 취해주면 아래와 같이 Rayleigh fading channel에서의 에러 발생 확률을 알 수 있다.
(자세한 유도과정은 연습문제에서 확인한다.)

또한 위의 식에서 루트 내부의 분자와 분모를 SNR로 나누면 1/SNR이 매우 작다는 조건하에(즉 SNR이 매우 크다는 조건하에) 테일러 전개를 통해 에러 발생 확률을 간단하게 근사할수 있다.무한수열과 무한급수 (tistory.com)

3. Performance Comparison
fading 없이 Gaussian noise만 관여하는 channel과 fading이 존재하는 두 채널의 error probabilty를 로그스케일 SNR에 대한 그래프로 나타내면 다음과 같다.

그래프로부터 SNR 값이 커질수록 페이딩이 없는 channel의 성능이 fading이 존재하는 채널보다 훨씬 좋은 성능(에러 확률이 작은)을 가짐을 알 수 있다. 따라서 channel의 성능은 noise보다는 각 path의 fading에 크게 의존함을 확인할수 있다.
4. Deep fading
Rayleigh fading이 존재하고 high SNR을 가지는 channel의 에러 발생 확률은 1/4SNR 이라고 했다. 다만 이는 어디까지나 random variable을 포함하는 원래의 에러 발생 확률

의 평균값을 취한 것이기 때문에 높은 SNR값을 가진다고 해서 channel의 성능이 항상 일정한 것은 아니다.
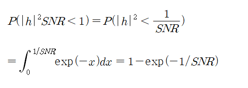
보통 impulse response h의 절대값 |h|의 제곱에 SNR을 곱한 값이 1보다 작을 때 channel의 성능이 좋지 않은 것으로 판단하며, 이를 channel이 Deep fading 상태라고 정의한다.

h가 Rayleigh 분포를 따를 때 |h|^2이 지수분포를 따른다는 것을 알고 있으므로, channel이 deep fading 상태가 될 확률 또한 계산할수 있다.

high SNR이라 가정하고 이를 매클로린 급수를 사용하여 근사화하면:

'개인공부 > Wireless Comm.' 카테고리의 다른 글
| Time Diversity, Coherent detection (0) | 2022.01.17 |
|---|---|
| BPSK to QPSK : exploting the degress of freedom (0) | 2022.01.13 |
| [배경지식]BPSK, QPSK (0) | 2022.01.12 |
| [Appendix]Detection/Estimation in Gaussian Noise(2) (0) | 2022.01.10 |
| [Appendix]Detection/Estimation in Gaussian Noise(1) (0) | 2022.01.10 |