0.Gaussian Noise
이전 포스트 Time and Frequency coherence (tistory.com)에서 flat fading channel의 경우 시스템의 I/O 관계를 다음 식으로 표현 가능하다고 배웠다:

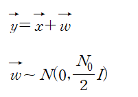
여기에 전파 전송 과정에서 발생하는 noise 항을 추가하면 다음과 같다:

noise w[m]은 평균이 0이고 표준편차가 N_0인 복소 정규분포를 따른다.
1. Scalar Detection
이번 포스트에서 공부할 것은 수신받은 신호를 가지고 (송신단에서)원래 전송한 신호가 무엇인지 결정하는 방법이다.
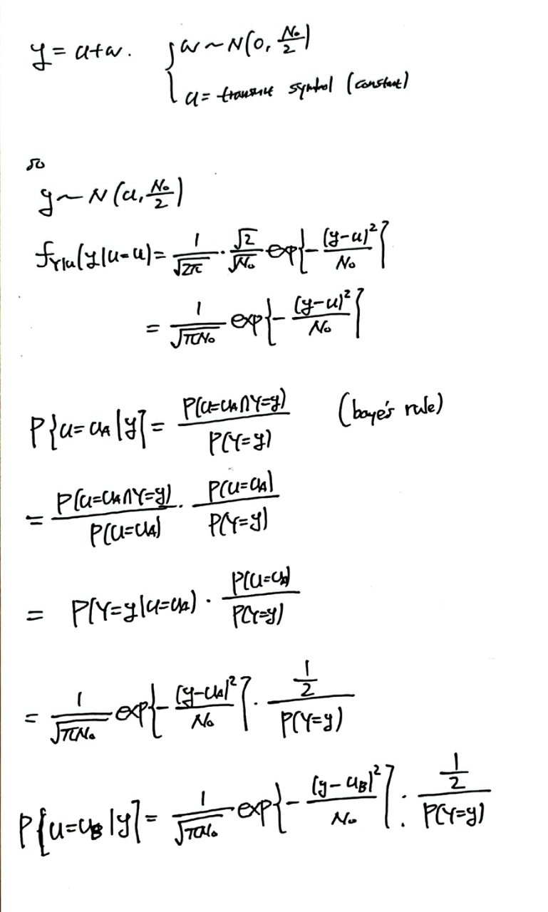
간단하게 하기 위해 실수 영역에서 gaussian noise가 포함된 I/O 시스템을 다음과 같이 표현한다:

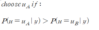
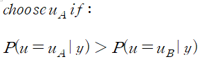
y는 수신받은 신호를, u는 전송한 신호(symbol)를, w는 노이즈를 나타낸다. u는 u_a, u_b 두 가지 값을 동일한 확률로 가진다.(고 가정한다), y의 값만 가지고 u가 무엇인지 결정하는 과정을 Detection problem 이라고 한다.
간단하게 생각해서 원래 전송한 symbol u가 무엇인지 결정하려면 조건부 확률을 사용하면 된다. 만약 다음과 같이 signal y를 수신받았을 때 u가 u_a일 확률이 signal y를 수신받았을 때 u가 u_b일 확률보다 크다면 원래 전송한 symbol u는 u_a라고 결정할 수 있다.

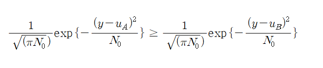
지금 실수 영역에서 얘기하고 있으므로 Gaussian Noise는 평균이 0이고 표준편차가 N/2인 정규분포를 따르게 된다.(복소정규분포를 실수부와 허수부의 identical, independant joint distribution 이라고 생각하면 이렇게 나온다.) 이를 토대로 위 식을 구체적으로 풀어쓰면 다음과 같다:

이를 원래 식에 대입하고 공통부분을 약분하면 다음과 같고

지수함수가 (y-u_?)^2항에 대해 감소함수이므로 더욱 간단하게 쓰면 다음과 같다:

또한 이때 에러 발생(잘못된 판단) 확률은:

이다. 여기서 에러 발생 확률은 각 symbol간 거리에만 의존한다는 것을 알 수 있다.
2. Vector Detection
여기서부터는 송신한 symbol u가 임의의 실수 벡터일때 y만 가지고 u를 결정하는 방법에 대해 공부한다.
scalar detection과 비슷하게 I/O 모델을 다음과 같은 식으로 표현하고:

scalar detection과 비슷한 과정으로 실수 벡터에서 decision rule을 유도할수 있다.

로부터

이며, 벡터가 2차원인 경우 Decision rule을 좌표평면에 나타내면 다음과 같다:

또한 다음과 같은 과정을 통해 symbol이 벡터인 I/O 시스템에서 에러 발생 확률을 찾을 수 있다.

마지막 식(u_a - u_b)^T W는 기존의 W에 상수 벡터를 내적한 것으로 생각할수 있고 따라서 다음과 같은 분포를 따른다.

분포를 알았으므로 에러 발생 확률을 좀 더 간단하게 쓰면 다음과 같다:

3. Vector Detection-Alternative View
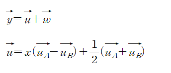
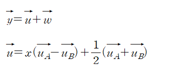
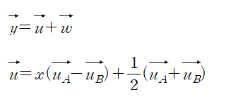
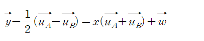
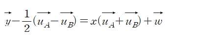
Vector Detection problem에서 symbol u를 다음과 같이 쓸수 있다:

이렇게 쓰면 transmit symbol u는 스칼라 x가 1/2이냐 -1/2이냐에 따라 결정된다. 이는 벡터 symbol을 다루는 I/O 시스템에서 scalar detection을 사용할수 있다는 이야기이다.
이때 첫 번째 식의 u에 두 번째 식을 대입하고 정리하면 아래와 같은 식을 얻고,

각 symbol u_a,u_b 를 잇는 방향벡터 v를 도입한다.

그 후 두 개의 벡터를 내적하면 하나의 스칼라량을 얻고, 이것을 가지고 vector detetion을 scalar detection으로 바꿀 수 있다:

이를 그림으로 나타내면 벡터 v에 벡터 y를 사영시킨 것으로 볼 수 있다.

이다. 스칼라 y tilde가 벡터 v방향의 좌표축에 존재하기 때문에, scalar detection 에서 다루었던 상황과 똑같은 상황임을 알수 있다.
+벡터 v방향의 좌표축 상에 대응하는 symbol u_a와 u_b의 스칼라양은 평면에서 점 간 거리(각 symbol과 원점간 거리)계산을 해서 얻거나 식

의 양변에 Orthogonal Matrix를 곱하여 좌표계 회전을 통해 구할 수도 있다.
(참고:직교 행렬과 회전변환, 대칭직교 행렬 (tistory.com))
'개인공부 > Wireless Comm.' 카테고리의 다른 글
| [배경지식]BPSK, QPSK (0) | 2022.01.12 |
|---|---|
| [Appendix]Detection/Estimation in Gaussian Noise(2) (0) | 2022.01.10 |
| [Appendix]Complex Gaussian Random Vectors (1) | 2022.01.05 |
| Rayleigh and Rician Model (0) | 2022.01.03 |
| Time and Frequency coherence (0) | 2021.12.30 |