1. Complex Gaussian Random Vector
n개의 random variable들의 joint pdf가 다음 식과 같을 때 실수 r.v. 들로 이루어진 벡터 x를 Gaussian Random Vector라고 한다.

이 개념을 복소수 영역으로 확장해서 복소수 r.v.로 이루어진 Complex Gaussian Random Vector를 얻을 수 있다.
(벡터가 복소수 영역에 있더라도 pdf는 위와 똑같은 방법으로 구할수 있다.)

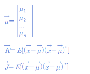
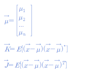
이때 해당 벡터는 다음과 같은 2차원 실수 벡터를 원소로 가지는 벡터와 동일한 distribution을 가지게 된다.

(뭐 복소평면 표현법 그런 거인듯?)
이 복소수 벡터의 등가표현을 가지고 Complex Random Vector의 distribution을 스칼라를 가지고 완벽하게 표현할수 있다. 3개의 행렬 mean(mu), covariance matrix(K), pseudo-covariance matrix(J)로 complex gaussian random vetor의 distribution을 표현한다.(즉 3개의 행렬이 모두 같은 벡터는 동일한 분포를 가진다.)

2. Circular Symmetric property
이전 포스트 Rayleigh and Rician Model (tistory.com) 에서 통신시스템의 임펄스응답 h[m]이 다음과 같은 모델로 근사화된다고 공부했다.

여기서 CN(0,sigma^2)의 C 기호가 circular symmetric을 의미한다고 하였는데, 그 의미는 다음과 같다:
| x와 exp(j*theta)x 가 같은 distribution을 가질 때 x는 circular symmetric 이다. |
이는 복소수 random variable(or vector) x의 분포가 그 phase에 독립적이라는 것을 의미한다.
또한 circular symmetric한 random vector x에 대해 다음과 같은 성질을 얻는다:

여기서 circular symmetric하며 covariance matrix K를 가지는 Gaussian Random Vector는 다음과 같이 표현한다:

이때 circular symmetric인 Gaussian Random variable, vector는 반드시 평균이 0이어야 한다.
3.Properties
여기서는 Complex Gaussian의 몇 가지 성질을 알아본다.
property 1:
| compelx gaussian r.v. W = W_real + jW_img 의 실수부와 허수부가 평균 0을 가지며 i.i.d.(independant and identically distribute) 일 때 r.v. W는 circular symmetric이다. 또한 이 역도 성립한다. |
이때 W의 phase는 구간 [0, 2pi]에서 uniform하게 분포되어 있으며, W의 magnitude |W|에 독립이다.
r.v.의 실수부와 허수부를 복소평면에 표현하면 W의 magnitude가 Rayleigh distribution을 따름을 알수 있다.
또한 복소수 r.v. 가 분포 CN(0,1)을 따를 때 이를 standard gaussian 이라고 하며 실수부와 허수부는 각각 분포 N(0, 1/2)를 따른다.

property 2:
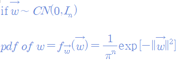
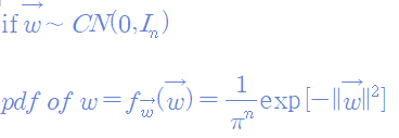
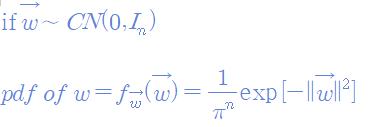
| CN(0,1)을 따르는 복소수 r.v. n개가 iid 하게 분포되어 있을 때 이들을 원소로 하는 벡터 w는 마찬가지로 circular symmetric 이며 평균이 0이고 covariance matrix K 가 n by n 단위벡터인 gaussian 분포를 따른다. |
이러한 벡터 w를 standard circular symmetric Gaussian random "vector" 라고 부르며 CN(0, I)로 표현한다.
또한 벡터 w의 pdf는 다음과 같다:

property 3:
| circular symmetric인 Gaussian random vector x에 유니타리 행렬 U를 곱한 벡터 Ux는 x와 같은 분포를 가진다. |
유니타리 행렬(unitary matrix)은 행렬의 에르미트 전치가 원래 행렬의 역행렬이 되는 행렬을 이야기한다.
직관적으로 실수 공간에서 정규직교 행렬과 유사하게 유니타리 행렬의 열과 행은 복소수 공간에서 직교하는 단위벡터이기 때문에 복소수 공간에서의 회전 행렬로 이해할수 있고(참고: 직교 행렬과 회전변환, 대칭직교 행렬 (tistory.com)), 벡터 x가 circular symmetric 이기 때문에 x의 분포는 회전에 영향을 받지 않는다고 이해하면 될 듯???
4. Generalization
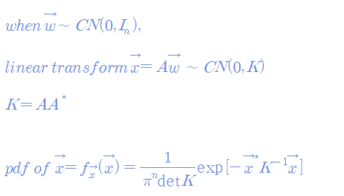
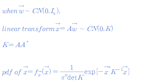
실수 Gaussian Random Vector와 마찬가지로 복소수 영역에서도 임의의 circluar symmetric한 Gaussian 분포를 stasndard 분포로 바꿀 수 있으며 그 역 또한 가능하다.

연습 문제
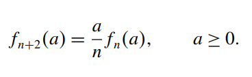
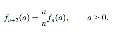
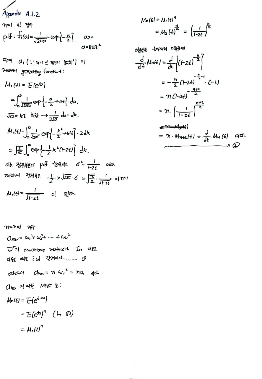
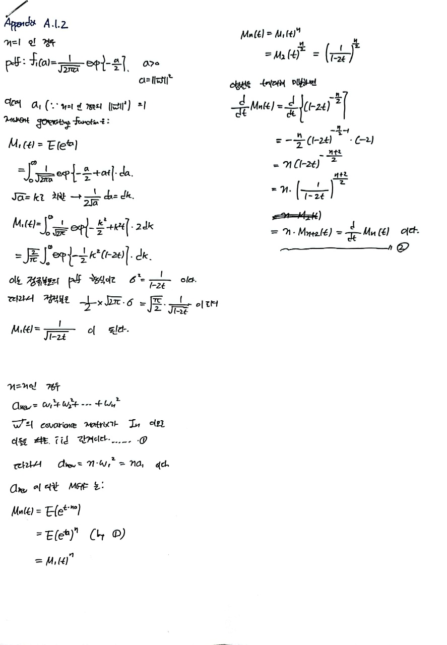
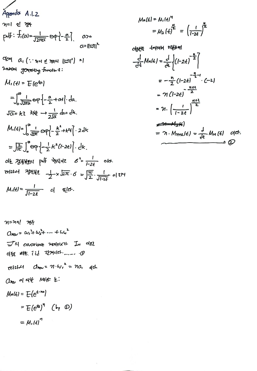
(App A.1.2)Consider the n-dimensional standard Gaussian random vector w~N(0,I) and its squared magnitudew^2
2. For any n, show that the density of w^2 satisfies the recursive relation

Sol.


(App.A.6)Let x be an n-dimensional i.i.d. complex Gaussian random vector, with the real and imaginary parts distributed as N(0,Kx) where Kx is a 2×2 covariance matrix. Suppose U is a unitary matrix (i.e., U∗U = I). Identify the conditions on Kx under which Ux has the same distribution as x.

'개인공부 > Wireless Comm.' 카테고리의 다른 글
| [Appendix]Detection/Estimation in Gaussian Noise(2) (0) | 2022.01.10 |
|---|---|
| [Appendix]Detection/Estimation in Gaussian Noise(1) (0) | 2022.01.10 |
| Rayleigh and Rician Model (0) | 2022.01.03 |
| Time and Frequency coherence (0) | 2021.12.30 |
| Input/Output model of wireless channel (0) | 2021.12.30 |