1. Doppler spread and Coherence time
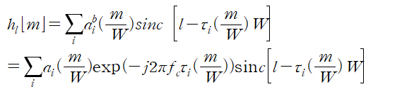
discrete time model에서 impulse response h[m]은 다음과 같다:

시간 m에서 i로 구분되는 서로 다른 경로의 scale factor a와 시간지연 tau가 전체 h[m]에 영향을 끼치게 된다.
시간 지연으로 인해 각 경로는 도플러 효과의 영향을 받고, 도플러 편이 D_i = f_c * tau_i 를 가지고 h[m]에 기여하게 된다고 볼 수 있다.
이때 각 경로간 발생하는 도플러 편이의 최대값을 Doppler Spread 로 정의한다:

또한 Doppler Spread의 4배수에 역수를 취한 값을 Coherence Time 으로 정의한다:

이때 Coherence time은 channel의 impulse responce가 time index m에 큰 영향을 받는(m에 대한 함수로 생각 가능한) 시간 구간이다.
혹은 시간영역에서 임펄스응답 h(t)가 근사적으로 일정한 시간 즉 h(t)가 급격하게 변화하는 시점간의 간격이라고도 생각할수 있다.
2. fast fading&slow fading
coherence time을 통해 channel의 특성을 fast fading과 slow fading으로 구분할수 있다.
-fast fading(time selective)
신호의 Sampling interval T_s가 Doppler Spread보다 매우 작은 경우.
즉 Sampling interval >> Coherence Time 인 경우 fast fading channel 이라고 한다.
Sampling interval이 coherence time보다 매우 크기 때문에, 식

에서 y[m] = y_b(m/W) 이고 하나의 샘플 구간 [-W/2, W/2]에서 time index m이 많이 변하기 때문에 신호의 왜곡이 증가한다.(맞는 얘긴지는 잘 모르겠음 ㅋㅋ)
-slow fading(time nonselective)
신호의 Sampling interval T_s가 Doppler Spread보다 매우 큰 경우.
즉 Sampling interval << Coherence Time 인 경우 slow fading channel 이라고 한다.
Sampling interval이 coherence time보다 매우 크기 때문에, 식

에서 하나의 Sample이 상수인 h[m]의 영향을 많이 받게 되고 그에 따라 신호의 왜곡이 감소한다.
3. Delay Spread and Coherence bandwidth
Doppler Spread와 비슷하게 각 경로간 delay간 차의 최대값을 Delay Spread로 정의한다.

또한 Delay Spread의 2배수에 역수를 취한 값을 Coherence Bandwidth이라고 정의한다.

이때 Coherence Bandwidth는 주파수 영역에서 봤을 때(즉 H(f)) 임펄스 응답이 근사적으로 상수로 나타나는 주파수 간격이다.
4. flat fading&frequency selective fading
coherence time을 통해 channel의 특성을 fast fading과 slow fading으로 구분할수 있다.
-flat fading
신호의 주파수 대역폭(푸리에 변환의 주기/2)가 coherence bandwidth보다 매우 작은 경우,
즉 Bandwidth W << Coherence Bandwidth인 경우 flat fading channel 이라고 한다.
이때 식

으로부터 다음과 같은 과정을 통해

flat fading channel의 I/O model을 다음과 같이 쓸 수 있다:

참고 자료
What are Fast Fading and Slow Fading? - YouTube
'개인공부 > Wireless Comm.' 카테고리의 다른 글
| [Appendix]Detection/Estimation in Gaussian Noise(1) (0) | 2022.01.10 |
|---|---|
| [Appendix]Complex Gaussian Random Vectors (1) | 2022.01.05 |
| Rayleigh and Rician Model (0) | 2022.01.03 |
| Input/Output model of wireless channel (0) | 2021.12.30 |
| 교재 정보 (0) | 2021.12.27 |