0.Notation
Large scale fading:
통신 거리에 따른 전송선 손실 및 건물 등의 장애물에 의해 발생하는 신호(전자파) 왜곡.
*전자파(E,H)의 강도는 거리의 제곱에 반비례
Small scale fading:
동일 경로에서 두 개 이상의 신호간 발생하는 간섭에 의한 왜곡
example)

Transmitt antenna에서 송신한 전자파와 벽에 반사되어 돌아오는 전자파를 동시에 받아 왜곡이 발생한다.
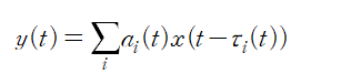
1. linear time-varing system
wireless channel이 주파수에 의존하지 않는다고 가정하면 다음과 같이 linear time varing system(선형 시변 시스템)으로 나타낼수 있다.

x(t), y(t)는 각각 입력(송신한 신호)와 출력(수신받은 신호)이며
a와 tau는 scale factor와 시간 지연이다. 하나의 신호 x(t)를 송신하더라도 전파 반사 등에 의해 수신부에 도달하는 시간이나 strength가 다르기 때문에 식에 시그마 기호가 포함된다.
해당 시스템의 impulse responce와 frequency responce를 구해보면

이며 시스템 출력 y(t)를 임펄스 응답을 통해 표현할수 있다:

2. Baseband equivalent model
전자파의 주파수가 충분히 커야 원거리까지 도달할수 있기 때문에 실제 무선통신은 고대역 주파수(carrier frequency)에서 이루어진다.
하지만 decoding, modulation등의 신호처리는 저대역에서 이루어지기 때문에, 보통 신호를 송신하기 직전 신호의 주파수를 고대역으로 바꾸고, 신호를 수신받은 직후 저대역 주파수로 바꾸는 과정이 필요하다.
실제 통신이 이루어지는 높은 주파수 영역을 passband 라고 하며 신호처리가 이루어지는 낮은 주파수 대역을 baseband라고 한다. 또한 passband의 신호를 baseband로 바꾸는 과정을 down-convert, 반대 과정을 up-convert라고 한다.
2.1 Continous time model
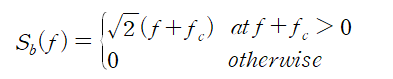
높은 주파수 성분을 가지며 푸리에 변환 S(f)를 가지는 신호 s(t)가 passband [f_c - W/2 , f_c + W/2] 에 있을 때(f_c는 center frequency 인듯), s(t)와 등가이며 baseband에 위치한 새로운 신호 s_b(t)를 baseband eqivalent model이라 하며 해당 신호의 푸리에 변환은 다음과 같이 정의한다:

s(t)와 s_b(t)의 푸리에 변환을 주파수 영역에서 보면 다음과 같다:

s(t)가 real value signal이기 때문에 푸리에변환 S(f)가 세로축 대칭으로 나타난다.
등가인 두 신호에 대해 signal energy가 같아야 하기 때문에 baseband의 푸리에변환 S_b(f)에 계수 sqrt2를 곱해준다.
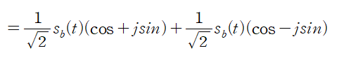
baseband signal s_b(t)로부터 s(t)를 복원하는 과정은 다음과 같다:
위 그림으로부터 S(f)를 다음과 같이 쓰고:

frequency shifting, scaling을 고려하여 inverse fourier transform을 취한다.

그 후 exp항을 오일러 공식을 사용하여 분해하고 항별로 전개한다.

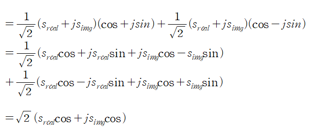
s_b(t)를 실수부와 허수부로 나눈다음 전체 식을 전개하면

결론적으로 baseband equivalent signal s_b(t)에서 passband signal s(t)는 다음 공식을 사용하여 얻을 수 있다:

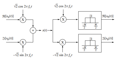
passband에서 baseband signal 또한 비슷한 방법으로 구할수 있다. 해당 과정의 block diagram은 다음과 같다:

(그림 왼쪽부터 up-convert, down convert 과정)
각각의 convert 과정을 알았으므로 baseband-passband를 사용하는 전체 I/O system에 대한 block diagram 또한 알 수 있다.

baseband signal x_b(t)가 up-convert되어 시스템의 입력으로 동작하고, 시스템의 출력 y(t)가 down-convert되어 baseband equivalent model로 변한다.
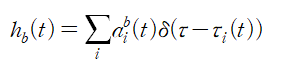
2.2 Continous time Baseband equivalent impulse responce
포스트 처음에 적어둔 input-output model을 가지고 전체 system의 impulse responce를 구할 수 있다.

이 수식에 2.1에서 얻은 y(t)와 x(t)를 대입한다.

따라서 y_b(t)는:

이고 x(t) = delta(t) 로 두면 Baseband equivalent impulse responce를 얻는다:

2.3 Discrete time model
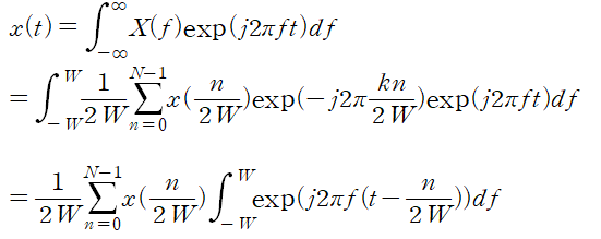
신호및시스템 과목에서 배운 Sampling theorem을 사용하여 x(t)를 이산시간 sample x[n]으로 표현할수 있다.
연속시간 신호 x(t)를 Sampling interval T_s로 Sampling한 후 얻은 numerical CTFT는 다음과 같다:

연속시간 신호 x(t)는 inverse Fourier Transform을 사용해 구할수 있으므로

이다. 여기서 X(f)의 최대 주파수 성분을 W라고 하면 Ts=1/2W 가 되어야 한다.(Nyquist) 위의 식에 대입하고 정리하면

마지막 적분을 rect(t) 함수의 inverse Fourier Transform으로 생각하고 정리하면 interpolation formula를 얻는다.

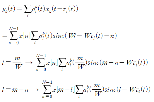
따라서 주파수 W/2에 band-limited된 baseband equivalent 는 다음과 같이 표현된다:

이를 포스트 처음의 I/O 식에 대입하면

마지막 식의 i에 관한 시그마 항을 impulse responce h[m] 으로 보면 시간 영역에서의 y[m]을 컨볼루션 형태로 정리할수 있다.
즉 discrete time baseband model에서 출력 y[m]과 impulse responce는 다음과 같다:

여기서 m은 time index(무차원), l은 tap index(receiver 입장에서 각 Sampling Point?)를 나타낸다.
'개인공부 > Wireless Comm.' 카테고리의 다른 글
| [Appendix]Detection/Estimation in Gaussian Noise(1) (0) | 2022.01.10 |
|---|---|
| [Appendix]Complex Gaussian Random Vectors (1) | 2022.01.05 |
| Rayleigh and Rician Model (0) | 2022.01.03 |
| Time and Frequency coherence (0) | 2021.12.30 |
| 교재 정보 (0) | 2021.12.27 |