1. Rayleigh Distribution
communication system의 I/O 관계는 다음과 같다.


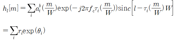
임펄스 응답 h_l[m] 에서 시그마의 i는 각각의 경로를 나타내고 따라서 임펄스 응답은 다양한 경로를 통해 도달하는 신호의 합으로 생각할수 있다. 특정 시간 m에서의 임펄스 응답 h[m]을 magnitude와 phase 항으로 간단하게 쓰면 다음과 같고,

이를 phase diagram에 나타내면 다음과 같다:

각 경로의 임펄스 응답 h_i에 대해 실수부와 허수부가 독립이라고 가정하고, 임펄스 응답이 도달하는 경로 i의 개수가 충분히 많기 때문에 최종 응답 h[m]의 실수부와 허수부는 central limit theorem에 따라 평균이 0이고 동일한 variance를 가지는 정규분포를 따르게 된다.
phase를 arctan(real/img), amplitude를 sqrt(real^2+img^2)로 두고 pdf를 구할 수 있고, 이 분포를 Rayleigh Distribution 이라고 한다.

또한 h[m] 자체는 다음과 같은 분포를 따르며 이를 Rayleigh Model 이라고 한다:

2. Rician Model
communication system을 표현하는데 있어 Rayleigh Model보다 더욱 일반적인 Rician Model 이라는 것이 있다.

Rician Model에서 첫번째 항은 specular path를, 두번째 항은 나머지 신호(수신받은)에 의한 임펄스 응답을 의미한다.
specular path란 receiver가 수신받는 여러 경로의 임펄스 응답 중 반사, 분산 등의 영향을 비교적 받지 않아 나머지 경로의 임펄스 응답에 비교하여 매우 강한 strength를 가지는, 즉 전체 임펄스응답 h[m]에서 dominant하게 작용하는 응답을 의미한다. 두번째 항은 specular path에 비해 신호의 strength가 많이 감소하고 반사, 분산 등으로 인해 위에서 공부한 Rayleigh model을 따르는 임펄스 응답의 합이다.
이를 phasor diagram으로 나타내면:

결국 Rician Model은 기존의 Rayleigh Model에서 dominant 한 응답이 추가된 모델임을 알 수 있다.
모델의 표현식에서 그리스 문자 카파는 K-factor 라고도 하며 specular path의 임펄스 응답의 에너지/나머지 항의 에너지로 정의된다.

이에 맞추어 Rician Model의 수식을 보면 specular path의 에너지가 커질 경우 첫번째 항이 dominant하게 전체 임펄스 응답 h[m]에 작용한다고 생각할수 있다.
참고 자료
'개인공부 > Wireless Comm.' 카테고리의 다른 글
| [Appendix]Detection/Estimation in Gaussian Noise(1) (0) | 2022.01.10 |
|---|---|
| [Appendix]Complex Gaussian Random Vectors (1) | 2022.01.05 |
| Time and Frequency coherence (0) | 2021.12.30 |
| Input/Output model of wireless channel (0) | 2021.12.30 |
| 교재 정보 (0) | 2021.12.27 |