4. Complex Vector Detection
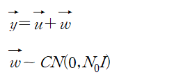
실수 벡터의 detection처럼 복소수 벡터의 detection 또한 아래의 식에서 출발한다:

나머지 과정 또한 실수 벡터와 마찬가지로 scalar detection으로 바꾼 후 진행한다.
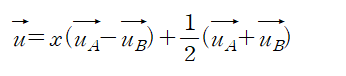
transmit symbol u와 수신받은 신호 y를 다음과 같이 두고:


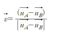
각 symbol의 종점을 잇는 방향의 단위벡터 v를 정의한다:

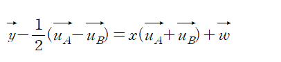
실수 벡터와 마찬가지로 벡터 y를 벡터 v위로 사영시킨다.


이때 복소수 symbol을 결정하는 정보는 여전히 스칼라 x에 의존하므로, 사영된 벡터 y(tilde)v 의 실수부만 가지고 detection이 가능하다. 따라서 사영된 벡터 y(tilde)v 의 실수부만 본다면:

이며, Gaussian Noise w의 실수부는 실수 벡터의 detection과 마찬가지로 정규분포 N(0,N/2)를 따르게 된다. 따라서 복소수 symbol을 주고받는 시스템이라도 에러 발생 확률은 실수 벡터를 주고받는 시스템과 같다.

5. Scalar Estimation
일단 공부하기 전에 이거부터 읽었다.
통계적 추론 - 위키백과, 우리 모두의 백과사전 (wikipedia.org)
통계적 추론 - 위키백과, 우리 모두의 백과사전
통계적 추론(統計的 推論, statistical inference) 또는 추론 통계은 모집단에 대한 어떤 미지의 양상을 알기 위해 통계학을 이용하여 추측하는 과정을 지칭한다. 통계학의 한 부분으로서 추론 통계학(
ko.wikipedia.org
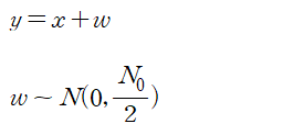
scalar symbol을 사용하는 통신 시스템

에서 transmit symbol x의 추정값을 x hat 이라고 하자. 해당 추정의 정확성(performance)는 mean square error로 계산이 가능하다.

MSE는 추정값과 실제 값의 차이의 제곱의 평균이므로 MSE값이 작을수록 추정의 정확성이 높다고 생각할수 있다.
이때 MSE는 아래와 같은 조건 하에 최소가 된다.(즉 추정의 정확성이 최대가 된다.)

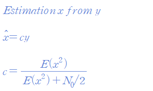
위 식으로부터, 가장 좋은 정확성을 내는 추정값이 y의 함수로 나타난다는 것을 알 수 있다. 여기서 중요한 두 가지 조건을 고려하면 transmit symbol x의 추정값을 계산할수 있다. 두 가지 조건은 다음과 같다:
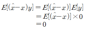
| -condition for Estimation x from y- 1. orthogonality property: 추정시 발생하는 오차(error)와 y의 관측은 서로 독립이다. 즉 ![]() 이다. 2. linear estimate 추정값 x hat이 y에 대한 선형함수이다.(라고 가정한다) ![]() |
이 성질들을 사용하여 x에 대한 추정값 x hat을 다음과 같이 구한다:

정리하면

이다.
'개인공부 > Wireless Comm.' 카테고리의 다른 글
| Detection in Rayleigh fading channel, Deep fading (0) | 2022.01.13 |
|---|---|
| [배경지식]BPSK, QPSK (0) | 2022.01.12 |
| [Appendix]Detection/Estimation in Gaussian Noise(1) (0) | 2022.01.10 |
| [Appendix]Complex Gaussian Random Vectors (1) | 2022.01.05 |
| Rayleigh and Rician Model (0) | 2022.01.03 |

