Chapter 3를 공부하기 위해 필요한 사전 개념정리.
BPSK와 QPSK는 전자파를 사용한 정보 전송을 위해 passband signal의 phase를 변화시켜 이진 데이터를 전송하는 디지털 변조 방식이다. carrier frequency에서 정현파로 진행하는 전자파의 위상을 각각 다르게 하여, 신호의 phase shift에 이진수 하나를 매핑한다고 생각하면 된다.
1. BPSK
Binary Phase Shift Keying의 약자로서 0, pi 두 가지 phase에 각각 이진수 0과 1을 대응시키는 변조 방법이다.
예를 들어 두 가지 정현파

는 동일 주파수(carrier frequency)와 진폭을 가지며 서로 다른 phase를 가지게 된다. 여기서 첫 번째 파형을 0에 대응시키고 두 번째 파형을 1에 대응시킨다면 이진 신호 0과 1을 주고받을수 있는 것이다. 예를들어 신호 "100110101"에 대응하는 시간 영역 파형은 다음과 같다:

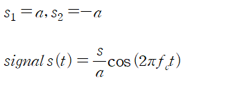
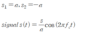
이때 Appendix에서 배운 방법들을 사용하기 위해 두 가지 신호를 다음과 같은 형태로 쓴다:

코사인함수의 개형에 따라 위와 같이 신호를 구성하여도 pi만큼 차이나는 위상신호 두 가지를 표현할수 있고, Scalar Detection 개념을 사용할수 있다.
마지막으로 이진 신호 0,1을 구분 가능하게 하는 scalar s_1과 s_2를 constellation라고 하며, 이를 복소평면에 나타낸 것을 constellation diagram 이라고 한다.

2. QPSK
Quardratic PSK, BPSK와 비슷한 개념으로서 각 신호간 위상차를 pi/2로 나눔으로서 4개의 이진 데이터를 송수신할수 있는 변조 방식이다. 각각의 데이터를 결정짓는 4개의 s값이 constellation diagram 위에서 90도의 위상차를 가져야 하므로, QPSK에서 s값은 복소수가 된다.
QPSK 변조의 constellation diagram은 아래와 같고:

각 signal을 구분하기 위해 아래와 같은 constellation을 사용한다.

참고 자료:
1. 위상 편이 변조 - 위키백과, 우리 모두의 백과사전 (wikipedia.org)
위상 편이 변조 - 위키백과, 우리 모두의 백과사전
위상 편이 변조(Phase-shift keying, PSK)는 기준 신호(반송파)의 위상을 변경 또는 변조 함으로써 데이터를 전송하는 디지털 변조 방식이다 모든 디지털 변조 방식은 디지털 데이터를 표현하기 위해
ko.wikipedia.org
BPSK
BPSK Binary Phase Shift Keying 2진 PSK, 이진 위상천이변조(2020-09-04)
www.ktword.co.kr
QPSK
직교 위상 천이 변조, 4진 PSK, 4위상 PSK
www.ktword.co.kr
'개인공부 > Wireless Comm.' 카테고리의 다른 글
| BPSK to QPSK : exploting the degress of freedom (0) | 2022.01.13 |
|---|---|
| Detection in Rayleigh fading channel, Deep fading (0) | 2022.01.13 |
| [Appendix]Detection/Estimation in Gaussian Noise(2) (0) | 2022.01.10 |
| [Appendix]Detection/Estimation in Gaussian Noise(1) (0) | 2022.01.10 |
| [Appendix]Complex Gaussian Random Vectors (1) | 2022.01.05 |