1. QPSK AWGN, Rayleigh fading channel
바로 이전 포스트 Detection in Rayleigh fading channel, Deep fading (tistory.com) 에서 BPSK modulation을 사용한 AWGN, Rayleigh channel에서의 Detection을 공부했다.
BPSK x[m]=+-a의 constellation diagram에는 실수 축 성분(보통 I channel이라 하는 듯)만이 존재하였는데, QPSK modulation을 실수축과 허수축(I channel, Q channel) 각각에 대한 BPSK modulation으로 생각하면 이전에 배운 내용들을 가지고 QPSK를 사용하는 channel에 대해서도 detection 개념을 적용할수 있다.
| QPSK modulation에서 I,Q channel은 각각 독립이고, 두개의 BPSK를 동시에 사용한다고 생각할수 있다. (1) |
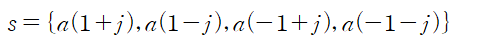
여기서 사용할 QPSK constellation은 다음과 같다:


(1)에 의해 QPSK에서 각 bit당 에러 발생 확률은 BPSK에서의 에러 발생 확률과 동일하다.
high SNR 조건하에 비트당 에러 확률은:

두 채널 I와 Q가 각각 독립이고, 여사건 특성을 사용하여 QPSK 자체의 에러 발생 확률을 찾을 수 있다.

high SNR 상태이므로 두 번째 항은 첫번째 항에 비해 확률에 영향을 거의 끼치지 않으므로 좀 더 간단하게 근사하면:

또한, QPSK는 두 개의 BPSK를 사용하므로, QPSK의 SNR 값은 BPSK의 두배이다.

2. Good communication scheme
QPSK는 constellation diagram 위에서 서로 구분되는 4가지 위치를 가지므로 정보 전송시 4가지의 정보를 사용할수 있다. (보통 디지털 동신을 사용하므로 각각 이진수 00, 01, 11, 10)
물론 QPSK 방식이 아니어도 각 constellation이 diagram 상에서 동일한 개수의 구분되는 위치를 가진다면 마찬가지로 4가지의 정보를 전송할수 있다. 예를 들어 I channel만을 사용하는 4-PAM 방식이 있다.

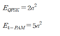
다만 일반적으로 4-PAM보다는 QPSK를 사용하는데, 에너지 측면에서 QPSK가 4-PAM보다 더 좋은 효율을 내기 때문이다. discrete time signal의 에너지 계산 공식을 사용하여 각각의 에너지를 계산해보면,


다음과 같은 결과를 얻는다.(각 symbol당 에너지. 4-PAM의 경우 데이터에 따라 에너지가 다르기 때문에 평균값 계산) 두 가지 모두 심벌 당 2bit의 정보를 전송할수 있지만, QPSK가 더 적은 에너지를 요구하기 때문에 QPSK modulation 방식이 좀 더 효율적인 변조 방식이라고 생각할수 있다.
이를 일반화하여 정리하면 다음과 같은 결론을 얻는다.

=좋은 통신 방식은 각 constellation이 가능한 많은 원소(기저벡터)를 가지는 basis를 가진다.
'개인공부 > Wireless Comm.' 카테고리의 다른 글
| Time Diversity, non coherent detection: Orthogonal modulation (0) | 2022.01.30 |
|---|---|
| Time Diversity, Coherent detection (0) | 2022.01.17 |
| Detection in Rayleigh fading channel, Deep fading (0) | 2022.01.13 |
| [배경지식]BPSK, QPSK (0) | 2022.01.12 |
| [Appendix]Detection/Estimation in Gaussian Noise(2) (0) | 2022.01.10 |