이전 포스트에서 coherent detection 상황에서의 modulation 방법중 하나인 repition coding에 대해 공부했다.
이번에는 receiver가 channel gain에 대한 정보가 없는 상황인 non coherent 조건 하에 정보 전송을 가능하게 하는 Orthogonal modulation에 대해 공부한다.
1. non coherent detection
Rayleigh model을 따르는 flat fading channel을 가정한다:

Rayleigh fading 을 따르는 channel gain h[m]의 phase가 [0, 2pi)에 uniform 하게 분포되어 있기 때문에 h[m]을 모르는 상태에서 y[m]만 가지고는 원래 전송된 신호 x[m]의 phase가 무엇인지 구분이 불가능하다. 따라서 BPSK,QPSK 등 신호의 phase로 정보를 구분하는 방법은 사용이 불가능하기 때문에 phase 대신 다른 패러미터로 신호를 구분해야 한다.
2. Orthogonal modulation
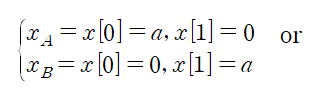
송신단이 두번의 time index에 거쳐 아래와 같은 신호를 전송한다:

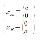
간단하게 벡터 표현으로 바꾸면 아래와 같고

Orthogonal modulation의 전체 I/O 관계식은 다음과 같다:

3. Detection in orthogonal modulation
이제 received signal vector y를 가지고 전송한 신호 x가 무엇인지 알아내는 detection에 대해 공부한다.
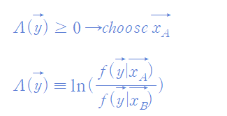
Orthogonal modulation을 사용하는 채널에서 Detection은 다음과 같은 ML decision rule을 사용한다:

*f는 각각의 pdf를 의미
lambda(y)위 정확한 수식표현을 찾기 위해 각각의 조건에서 벡터 y의 각 원소들에 대한 분포를 먼저 찾는다.
x_A가 수신되었을 때 y[0]의 분포는 아래와 같은 과정을 통해 찾을 수 있고(y[0], y[1]이 독립이라 가정)

나머지 또한 동일한 방법으로 찾을수 있다. 정리하면

이며, 벡터 y의 각 원소가 서로 독립이며 정규분포를 따르므로 joint pdf를 구할 수 있다.

통분하여 정리하면 lambda(y)는 다음과 같이 정리되며:

y의 원소들을 제외한 항들이 모두 상수이므로 detection 공식을 더욱 간단하게 정리할수 있다.

공식을 보면 전송한 signal이 무엇인지 판단하는 과정에서 신호의 phase를 전혀 사용하지 않고 있음을 알 수 있다.
x_A와 x_B를 판단하는 데에는 오직 신호의 절댓값(즉 에너지와 관련된 양)만 사용하며, 이를 Energy 혹은 square law detector 라고 한다.

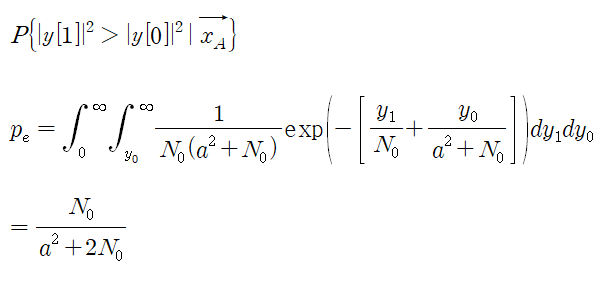
4. error probability
square law detector에서 에러 발생 확률은 다음과 같은 수식을 계산하여 얻는다:

벡터 y의 원소 각각이 복소수 정규분포를 따르므로 그 제곱은 지수분포를 따르게 되고(자유도 2인 카이제곱 비슷하게 생각. 물론 표준화는 ㄴㄴ) 각각이 독립이므로 joint pdf를 구한 다음 구하고자 하는 영역에서 이중적분을 한다.


Orthogonal modulation의 SNR값이 a^2 / N_0 이므로 에러 발생 확률을 SNR에 대한 식으로 정리하면 다음과 같다:

'개인공부 > Wireless Comm.' 카테고리의 다른 글
| Antenna Diversity, SIMO (0) | 2022.02.07 |
|---|---|
| Time Diversity, Rotation code(coherent detection) (0) | 2022.02.04 |
| Time Diversity, Coherent detection (0) | 2022.01.17 |
| BPSK to QPSK : exploting the degress of freedom (0) | 2022.01.13 |
| Detection in Rayleigh fading channel, Deep fading (0) | 2022.01.13 |