1. 선형성을 사용한 일차방정식 풀기
방정식 dy/dt = ay 는 y(t) = y(0)e^at 로 풀린다. ay가 함수 y의 도함수이므로, a>0 일 때 y는 증가하고, a<0 일 때 y는 감소한다.
여기서 방정식의 우변에 새로운 인자 q(t) 를 추가해보자. 그러면 y의 도함수(혹은 변화율) dy/dt 는 q(t) 의 영향을 추가로 받게 된다.
(참고로, q(t)를 입력, 해 y(t) 를 출력 이라고 부르기도 한다,)
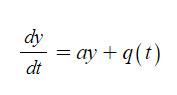
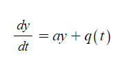
다음 1차 선형 미분방정식은 일계 미분방정식에서 기본적인 방정식이 된다. (이하 방정식1 이라 칭함)

이런 형태의 방정식을 풀 때 중요한 것은 해 y(t) 를 두 부분으로 나누어 볼 수 있어야 하는 것이다. 하나는 초기값 y(0) 으로부터, 나머지 하나는 q(t) 에서 나온다. 순서대로 영공간해(nullspace solution), 특수해(particular solution)이라고 부른다.
이렇게 해를 두 부분으로 나누는 것은 위의 방정식에 국한되는 것이 아닌, 모든 선형방정식에서 중요한 단계이다. 또한 문제에 따라 매우 유용하게 쓸 수도 있다. 두 해에 대해 좀더 자세히 알아보자.
1. 영공간해

2. 특수해

3. 완전해(general solution) = 영공간의 해 + 특수해
선형 방정식에 대해서만 두 해를 더하면 완전해 y(t) 가 된다. 이는 일반해(general solution) 이라고 부르기도 한다. 이를
수식으로 나타내면 다음과 같다.

미분방정식은 아니지만 영공간의 해와 특수해를 더했을 때 방정식의 모든 해를 표현하는 완전해가 나옴을 볼 수 있다.
비선형 방정식의 경우, 고차항 y^n (n>=2) 를 포함할 것이며. a^n+b^n=(a=b)^n 이 성립하지 않기 때문에 위의 방식을 적용할수 없다.
2. 일차 미분방정식 풀기-적분인자 사용
그렇다면 이제 직접 방정식을 풀어보자. 책에 나와있는 방법인 적분 인자 M(t) 를 사용하는 방법에 대해 알아보자.

여기까지 됐으면 이제 최종 등식의 양변을 0부터 t까지 정적분한다.

이제 영공간 해와 특수해를 더하면

여기서 분해된 해 yn, yp 는, 각자의 해에 대한 초기조건이 따로 주어지지 않은 경우 yn(0)+yp(0)=yc(0) 을 만족하기만 한다면 아무거나 설정해도 괜찮다.
연습 문제
(1.4절 연습문제 32번) dy/dt = a(t)y + q(t)의 두 해 y1, y2 를 안다고 가정하자.
(a) 영공간의 해를 구하라.
(b) 모든 영공간의 해와 모든 특수해를 구하라.
(조건) y1, y2를 사용하여 표현하라.

'개인공부 > 미분방정식' 카테고리의 다른 글
| 분리 방정식과 완전 방정식 (0) | 2021.12.24 |
|---|---|
| 정상상태와 안정성 (0) | 2021.12.24 |
| 오일러 공식, 복소수 사인곡선 (0) | 2021.12.24 |
| step, impulse, exponential function (0) | 2021.12.24 |
| 교재 정보 (0) | 2021.12.24 |