이번에는 미분방정식의 입력이 되는 함수들 중 중요한 세 가지 함수와 그에 대한 풀이방법에 대해 공부한다.
각 함수들에 대한 정의와 성질 등을 먼저 적는다.
1.1. 단위계단함수(unit step function)
단위 계단 함수는 H(t)로 표시하며, 0보다 작은 실수에 대해서 0, 0보다 큰 실수에 대해서 1, 0에 대해서 1/2의 값을 갖는 함수이다.
(출처 위키피디아) 이를 그래프로 나타내면 다음과 같다.

참고로 단위 계단 함수의 적분을 int H(t)dt = R(t) (램프 함수)로 정의하며, x<0 인 구간에서 y=0, x>=0 인 구간에서 y=x인 그래프이다.

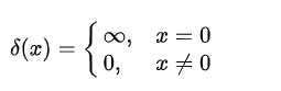
1.2. 디랙델타함수(dirac delta function)
디랙-델타 함수는 다음과 같이 정의된다(엄밀한 정의는 아니다). 또한 이는 단위 계단 함수 H(t) 의 도함수이기도 하다. (그래프에서 x=0 일때 기울기가 무한대로 발산하고, 나머지 지역에서 기울기가 0임을 볼수있다.)

아래는 이 델타 함수에 대한 대략적인 유도 과정이다.

존나 헛소리 같은데 수학과가 아니니까 패스함
1.2.2 델타함수의 특성
아래는 델타함수의 특성 중 중요한(책에 나와있는) 것들을 정리해놓은 것이다.
첫 번째로 알 수 있는것은 delta(x)를 0을 포함하는 구간에서 정적분하면, 그 값은 항상 1이라는 것이다.(함수와 x축으로 둘러싸인 넓이가 1이고 함수값이 모두 0보다 크기 때문)

두 번째 성질은 델타 함수와 임의의 함수 f 를 곱한 함수의 0을 포함하는 구간에서의 정적분은 항상 f(0) 이라는 것이다.

부분적분을 사용하여 이 성질을 증명해 보자.

같은 방법으로 성질 2 를 확장시켜 다음 성질을 볼 수 있다.

여기까지 계단 함수와 델타 함수에 대해 공부했고, 이제 각각의 함수들이 일계 미분방정식 dy/dt = ay +q(t)의 입력(소스 항, q(t)) 가 되었을 때 방정식을 어떻게 푸는지에 대해 알아본다.
2. q(t) = H(t), Impulse, 지수함수에 대한 특수해 구하기
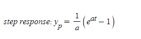
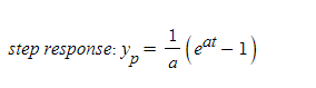
2.1. 입력 q(t)가 단위계단함수 H(t) 일 때
방정식 dy/dt = ay + H(t)의 특수해를 구해보자. 편의상 yp(0)=0 으로 시작하자. t=0일때 점프가 발생하므로, q=1을 공식에 대입하면 특수해를 구할 수 있다.

다음은 일반화된 계단 함수 qH(t-k) 에 의한 특수해를 구해보자. 이는 t=k 에서 q로 점프한다.

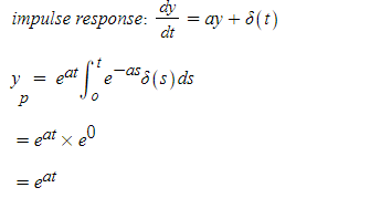
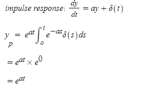
2.2. 입력 q(t)가 델타 함수 (임펄스) 일 때
방정식 dy/dt = ay + delta(t) 의 특수해를 구해보자. yp(0)=0 으로 시작한다. "델타 함수의 성질 2" 로 이를 구할 수 있다.

여기서 dH(t)/dt = delta(t) 이므로, 임펄스 응답 = d(계단 응답)/dt 임을 알 수 있다.
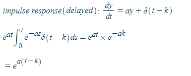
일반적인 임펄스에 의한 특수해를 구해보면

2.3. 입력 q(t)가 지수함수 일 때
방정식 dy/dt = ay + e^ct 의 특수해를 구해보자. 이번에는 특수해 공식을 사용하지 않고 더 간단하게 해를 구할 것이다. 이번에 소개할 방법은 2계 이상의 미분방정식을 풀 때 중요하게 사용되므로 잘 기억해두자.

지수함수 입력에 대한 특수해를 구했다. 다만 이를 영공간의 해와 결합하여 완전해를 만들 때 문제가 생긴다.

이로서 지수함수 입력에 대한 방정식의 해를 구했다. 하지만 c = a 인 경우 어떻게 되는가? 1/0 이 정의되지 않으므로 이 경우 정석적인 방법으로 해를 구해야 한다.

지수함수 입력 e^at의 지수 a가 영공간의 ay와 같은 역할을 하기 때문에 이러한 현상이 발생한다. 이를 공명(resonance) 라고 한다.
연습 문제
(1.4절 연습문제 17번)계단 함수가 T=4 일 때 1이 되고, T=6 일 때 0이 된다고 하자.
q(t) = H(t-4) - H(t-6)에 대해 초기값 y(0)=0 으로 시작하여 방정식 dy/dt + 2y = q(t)를 풀어라. t가 무한대로 발산할 때 y값은 무엇인가?

(1.4절 연습문제 20-b 번)int(-infinite to +infinite) delta(t)^2 dt =?

(1.4절 연습문제 29번)y(0) = 0 인 dy/dt + 4y = 8e^-4t + 20 을 풀어라. t가 양의 무한대로 발산할 때 y는 얼마인가?

'개인공부 > 미분방정식' 카테고리의 다른 글
| 분리 방정식과 완전 방정식 (0) | 2021.12.24 |
|---|---|
| 정상상태와 안정성 (0) | 2021.12.24 |
| 오일러 공식, 복소수 사인곡선 (0) | 2021.12.24 |
| 특수해, 완전해, 일차미분방정식 (0) | 2021.12.24 |
| 교재 정보 (0) | 2021.12.24 |