이번 포스트에서는 비선형 미분방정식중 하나인 로지스틱 방정식을 소개하고 이를 사용하여 정상상태(steady state)와 안정성이 무엇인지 공부한다.
1.
로지스틱 방정식
다음과 같은 비선형 미분방정식을 로지스틱 방정식이라고 부른다.

또한 a = 1, b = 1 , y(0) = 1/2 일 때 그래프는 다음과 같이 그려진다.

방정식의 해 y(t)는 무엇일까? 대부분의 비선형 미분방정식은 해 공식이 없지만(아예 해가 존재하지 않을 수도 있다.) 몇몇 방정식에 대해서는 풀 수 있다. 로지스틱 방정식도 마찬가지이므로 한번 풀어보도록 하자.
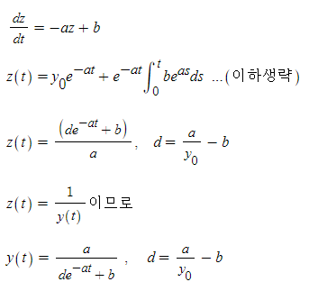
아이디어: 방정식 dz/dt = -az + b 는 선형이고, 이러한 형태의 방정식은 해를 찾는 것이 가능하다. z = 1/y 로 두고 이를 이용해 방정식을 풀어보자.

z에 대한 선형 방정식을 얻었다. 공식을 사용하여 z(t)를 찾고, 역수를 취해주면 y(t)를 구할 수 있다.

2. 정상상태(steady state)와 해의 안정성
위에서 알아본 로지스틱 방정식은 경쟁에 의해 성장의 속도가 느려지는 모델 중 하나이다. 예시를 하나 들어 설명해 보면
외부로부터의 출입이 없는 닫힌 생태계가 있다. 생태계는 오로지 토끼와 당근만이 존재하고, 외부로부터의 유입이나 외부로의 유출이 없다.
토끼의 개체수는 시간이 지남에 따라 어떻게 변할까? 여기에는 호랑이나 독수리 같은 생명의 위협이 없고, 맛있는 당근은 사방에 널려있다. 평화 그 자체이다. 안전이 보장되고 식량마저 풍부한 상황이라면 토끼들은 무엇을 할까? 토끼들은 모두 굴에 들어가 아기 토끼를 만들게 된다.

오랜 시간이 지나면, 생태계에는 처음과는 비교할 수 없는 수많은 토끼들이 살게 된다. 토끼들의 개체수가 많아지며, 문제가 생긴다. 바로 당근의 양이 부족해진 것이다. 평화의 시대는 가고 얼마 남지 않은 당근을 차지하기 위해 토끼들은 경쟁에 돌입한다. 아기 토끼가 많아질수록 부모토끼는 많은 양의 당근을 확보해야 하므로, 부담을 줄이기 위해 토끼들은 이전보다 적은 아이를 낳게 된다.
이 상황을 수학적으로 해석하면 로지스틱 방정식이 나온다. 토끼의 개체수를 y로 잡고, 시간 변수를 t로 둔다. 시간에 대한 토끼 개체수의 변화율은 dy/dt 로 표현된다.
로지스틱 방정식 dy/dt = ay - by^2 은 이 상황을 잘 표현한다. 토끼의 수 y 값이 커질수록 출산율 dy/dt 를 감소시킨다. 이를 그래프로 확인하면

생태계가 가로축 -4 에서 시작한다고 하자. 해 y 는 계속해서 증가하며, 그 속도 dy/dt 또한 증가한다. 하지만 가로축 0인 지점부터 속도가 감소하게 되고, 시간이 지날수록 해의 변화율 dy/dt 는 0에 가까워진다.
대충 이해했으면 지금부터 정상상태와 안정성에 대해 알아보자. 먼저 정상상태가 무엇인지부터 설명하겠다.
로지스틱 방정식에서 정상상태는 무엇인가? 정상상태란 dy/dt = 0 인 y 값을 의미한다.(여기서는 y = 0, 1) 즉 해가 정상상태에 도달하거나 가까워지면 y 의 변화는 더뎌진다. 이러한 y 값을 정상상태(steady state)라고 한다.

이제 정상상태의 안정성(stabilty)에 대해 알아보자. 해 y(t)는 시간이 지남에 따라 정상상태에 가까워질 수도, 멀어질 수도 있다.
해가 특정 정상상태에 가까워지는 상태일 때 정상상태가 안정적이라고 말하고, 멀어질 경우 불안정하다고 한다.

여기까지 정상상태와 해의 안정성이 무엇을 의미하는지 알아보았다. 마지막으로 로지스틱 방정식의 정상상태를 구해보고 안정성을 판단한다.
3. 로지스틱 방정식에서 정상상태와 안정성 여부 판단하기

'개인공부 > 미분방정식' 카테고리의 다른 글
| n차 미분방정식 풀이를 위한 성질들 (0) | 2021.12.24 |
|---|---|
| 분리 방정식과 완전 방정식 (0) | 2021.12.24 |
| 오일러 공식, 복소수 사인곡선 (0) | 2021.12.24 |
| step, impulse, exponential function (0) | 2021.12.24 |
| 특수해, 완전해, 일차미분방정식 (0) | 2021.12.24 |