저번 포스트에서 이계 미분방정식의 입력 항 q(t) 가 지수함수 꼴이거나 지수함수 꼴로 나타낼 수 있을 경우(코사인/사인함수)의 특수해를 찾는 방법에 대해 알아보았다. 이번 포스트에서는 q(t) 가 지수함수가 아니거나 지수함수로 전환조차 불가능한 경우에 방정식을 푸는 두 가지 방법을 공부한다.
1. 미정계수법
상계수 미분방정식 F(y, y', y" ...) = q(t)에서 해 y는 입력 q(t)와 유사한 형태를 가진다고 유추할 수 있다. 예를 들어 q(t)가 지수함수인 경우 특수해는 지수함수 꼴이었고, 코사인/사인함수의 경우도 마찬가지였다. q(t)가 지수함수와 다항함수의 곱으로 표현된다면, 해 y(t) 또한 지수함수와 다항함수의 곱 형태로 나타날 것이다. 미정계수법(undetermined coefficients)는 이 아이디어를 사용하여 방정식의 특수해를 구한다.

다음은 미정계수법을 사용하여 문제를 풀 때 입력 q(t)에 따른 해 y(t)의 형태를 정리해 놓은 것이다. 만약 q(t)가 다양한 함수들의 곱으로 표현되어 있으면 각각의 표현을 곱해주면 된다. 예를 들어 q(t) = te^ct 일 때 yp(t) = (at + b)e^ct 꼴이다.

미정계수법은 다양한 형태의 입력 q(t)에 적용이 가능하며, 계산이 쉽다. 다만 실패할 가능성이 존재하며 방정식의 계수가 상수일 때만 사용 가능하다. 예제를 하나 풀어보면

방정식이 풀리는 것을 확인할 수 있다. 미정계수법을 사용할 때의 주의점들을 확인하고 다음 내용으로 넘어감

2. 매개변수 변환법
매개변수 변환법(variation of parameters)은 미분방정식을 푸는 두 번째 방법이다. n계 미분방정식의 서로 다른 n개의 영공간의 해를 알고 있다는 조건 하에 방정식이 가변 계수를 가질 때도 사용 가능하며, 임펄스(델타함수 δ(t))를 포함한 더욱 다양한 형태의 입력에 대해서 특수해를 찾아낼 수 있다. 일단은 이계 미분방정식에 대해서만 적는다. n차 방정식에 대해서는 포스트 마지막에 있음

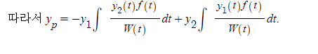
다음은 2계 미분방정식에서 매개변수 변환법이 특수해를 찾아낼 수 있다는 것을 보여주는 과정이다. (좀 더러움)



(참고)위의 과정 중 c1'y1 + c2'y2 = 0 은 가정이 아니고 단순히 임의의 c1, c2 에 관한 조건을 설정해 준 것이다. 애초에 c1과 c2는 어떠한 함수던 간에 포함하므로, 조건을 설정해주고 결과가 그 조건을 만족한다면 모순이 없다.
+n차 미분방정식에서 매개변수변환법은 다음과 같다:

예제를 하나 풀어보면
(2.6절 예제 6번)매개변수 변환법을 사용해 d^2 y/dt^2 + dy/dt = delta(t) 의 특수해를 구하라.

+여기서 영공간의 해 = 특수해 이므로 특수해 sint에 t 를 곱해주어야 한다고 생각할 수 있는데, 인자 t를 곱하는 경우는 공명이 발생하였을 대로 한정한다.(식 자체에 모순이 있거나 특성방정식의 모든 근을 표현하지 못하거나) 물리학적 관점에서 바라보았을 때 공명은 외부(우변)에서 진동을 가하며 외부 진동의 진동수와 시스템의 고유 진동수(좌변의 지수)가 같아야만 발생한다. 델타함수는 진동을 나타내는 것이 아니므로 공명을 발생시키지 않는다.
헷갈리는 부분
Q. 매개변수 변환법 사용시 부정적분을 사용하였을 때와 정적분을 사용하였을 때의 차이점이 무엇인가?
A. 부정적분 사용시 입력에 의한 특수해만 고려할 것이고 정적분 사용시 초기조건에 의한 해 즉 영공간 해까지 고려할 것이다. 부정적분을 사용한 매개변수 변환법의 피적분함수를 f(t) 로 두면 y(t) = F(t) 인데, 이는 초기값 F(0)을 고려하지 않은 결과이다.
연습 문제
(2.6절 연습문제 16번)방정식 d^2 y / dt^2 + 3dy/dt - 4y = te^ct 에 대해 공명을 발생시키는 c 값을 찾고 그에 따른 특수해의 형태를 구하라.(미정계수법)

(2.6절 연습문제 23번)방정식 d^2 y / dt^2 - 5dy/dt + 6y = 12 를 미정계수법과 매개변수 변환법으로 각각 풀고 답을 비교하라. 매개변수 변환법 사용시 정적분을 사용하면 답이 다르게 나올 것이다. 이유가 무엇인가?

'개인공부 > 미분방정식' 카테고리의 다른 글
| 라플라스 변환 기초(2) (0) | 2021.12.24 |
|---|---|
| 라플라스 변환 기초(1) (0) | 2021.12.24 |
| n차 미분방정식의 특수해 구하기: 지수함수, 코사인함수 (0) | 2021.12.24 |
| n차 미분방정식의 영공간 해 구하기 (0) | 2021.12.24 |
| n차 미분방정식 풀이를 위한 성질들 (0) | 2021.12.24 |