시작하기 전에 포스트에서 다음 예제를 많이 사용할 것이므로 첨부한다.

1. 부분분수 분해
포스트 라플라스 변환(1) 마지막 예제를 떠올려 보자. 풀이과정에서 Y(s) = 1 / (s - a)(s - 3)(s - 1) + y(0)(s - 4) / (s -3)(s - 1) + y'(0) / (s -3)(s - 1) 를 얻었는데, 바로 역변환을 알 수 없기 때문에 이를 부분분수들의 합으로 분해하고 역변환을 취했음을 볼 수 있다. 이런 과정은 라플라스 변환을 사용한 풀이에서 자주 나오니까 알아두자.

이러한 형태의 분수들은 모두 1차 부분분수 혹은 1, 2차 부분분수들로 나누어진다. 이 사실을 통해 모든 초기값을 0으로 가정한 후 간단한 분수를 얻었고, 계수 계산을 하지 않은 채 단지 원래의 초기값만 고려하여 문제를 쉽게 풀 수 있었다.
2. 공명이 발생할 때 라플라스 변환
최종적으로 구한 해 y(t)에서 a에 대한 수식을 분모로 가지는 계수를 확인할 수 있다. a가 특성방정식 Y(s) = 0 의 근일 경우 항이 정의되지 않는데, 이때는 어떻게 해야 할까? 뭐 늘 그렇듯이 공명이 몇 번 일어나는가에 따라 t를 곱해주면 된다. 왜 그런지 예시를 통해 알아보자.


풀이과정에서 a = 3 에 의한 공명이 발생함에 따라 Y(s)가 1 / (s - a)^2 형태의 항을 가짐을 확인할 수 있다. 또한 그것의 역변환은 te^at 꼴이다. 즉 공명 발생시 중복 횟수에 따라 t를 곱해주면 된다.

2. 중요한 변환: 삼각함수와 복소지수함수
다양한 함수들에 대한 라플라스 변환은 모두 단순 이상적분이므로 따로 정리하지 않았으나, 삼각함수와 복소지수함수는 자주 쓰이므로 한번만 짚고 넘어간다.
삼각함수 sinwt와 coswt
coswt 는 두 지수함수의 합 (e^iwt + e^-iwt) / 2 으로 나타낼 수 있으며 sinwt 는 (e^iwt - e^-iwt) / 2i 로 나타낼 수 있다.
이를 공식에 대입하면 각각의 라플라스 변환을 얻을 수 있다. 계산이 간단하므로 따로 풀이는 적지 않겠다.

지수함수와 삼각함수의 곱
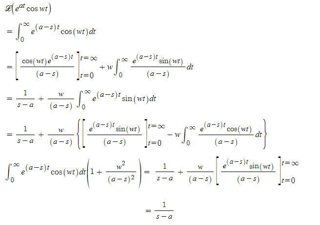
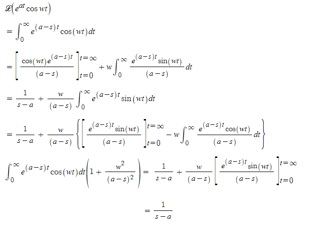
함수 e^at sinwt와 e^at coswt 의 라플라스 변환을 계산해보면


e^at sinwt 또한 마찬가지로 계산해주면 된다. 계산하면 다음과 같은 결과를 얻는다:

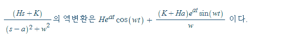
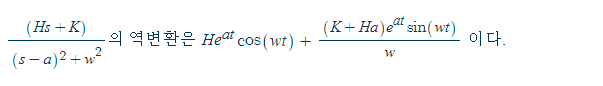
특성방정식의 복소수 근 a + iw
마지막으로 선형 미분방정식의 좌변의 특성방정식 Y(s)가 복소수 근을 가질 때를 알아본다. 방정식 d^2 y /dt^2 + 2 dy/dt + 5y = 0 으로 시작한다.

여기서 분모 s^2 + 2s + 5를 인수분해하기보다는 위에서 언급한 지수함수와 삼각함수의 곱 형태를 사용하는 것이 더 쉽다.

일반화하면

연습 문제
(2.7절 연습문제 23번)미적분 방정식 dy/dt + int 0 to t (y)dt = 1 , y(0) = 0을 라플라스 변환하여 풀어라.

(2.7절 연습문제 24번)미적분 방정식 dy/dt + int 0 to t (y)dt = delta(t) 를 풀어라. 초기조건 y(0) = 0 이다.

(2.7절 연습문제 20번)y(0) = y'(0) = 0 인 방정식 d^2 y / dt^2 + y = delta(t) 를 라플라스 변환하여 풀어라. 만약 y(t) = sin(t) 를 얻었다면 문제가 발생한다. d^2 y / dt^2 + y = 0을 사인으로 풀 수 있지만 초기조건 y'(0) = 0 을 만족하지 않는다는 것. delta(t) 는 어디에서 왔는가? 다시 말해서 라플라스 변환의 조건 : t < 0 일 때 모든 함수가 0 이라면 dy/dt = cos(t)의 미분은 무엇인가?


* 주어진 미분방정식의 해 y(t)는 sin(t)가 맞다. 다만 라플라스 변환의 특성 때문에 그 도함수와 이계도함수가 평소 알던 것과는 다른 함수로서 도출된 것이다. 혹은 y(t)를 sin(t)H(t)로 생각할 수도 있겠다.
*같은 원리를 이용하여 연습문제 24번의 정답이 방정식을 올바르게 푼다는 것을 확인할 수 있다.
(2.7절 연습문제 25번)델타 함수의 미분은 "더블릿" 이라 부르는데, 이는 t = 0 부근에서 양의 무한대로 점프하였다가 음의 무한대로 내려간다. 미분 변환 법칙으로부터 델타함수의 도함수의 라플라스 변환을 찾아라. 다음 수식을 참고하라:

'개인공부 > 미분방정식' 카테고리의 다른 글
| 라플라스 변환 기초(1) (0) | 2021.12.24 |
|---|---|
| 미정계수법과 매개변수 변환법 (0) | 2021.12.24 |
| n차 미분방정식의 특수해 구하기: 지수함수, 코사인함수 (0) | 2021.12.24 |
| n차 미분방정식의 영공간 해 구하기 (0) | 2021.12.24 |
| n차 미분방정식 풀이를 위한 성질들 (0) | 2021.12.24 |