이번 포스트에서는 연립 선형 미분방정식을 푸는 방법으로 시작하여 새로운 개념인 고유값과 고유벡터에 대해 공부한다.
1. 연립 미분방정식의 풀이
다음과 같은 연립 미분방정식이 주어졌다고 하자.

해 y_1 과 y_2 는 분명히 서로 연관되어 있을 것이며, 미분방정식이므로 해는 e^ct 형태로 나타날 것이라고 추측할수 있다. 또한 각각의 방정식에서 한 y의 증가율이 서로 다른 y들의 합으로 나타내어져 있으므로 두 y의 증가율(지수 c값)은 같을 것이다.
그렇다면 두 개의 해 y_1과 y_2 는 각각 ae^ct, be^ct 꼴로 나타날 것이고, 여기서 벡터 x=(a,b)를 계수 행렬 A의 고유벡터(eigenvector), 상수 c값을 행렬 A의 고유값(eigenvalue)이 된다.(참고로 고유값은 그리스 문자 람다로 많이 표시한다.) 이를 기반으로 주어진 연립 미분방정식을 풀어보면 다음과 같다:

2. 고유값과 고유벡터
바로 위에서 연립 미분방정식을 행렬 형태로 바꾸고 풀어내는 과정을 확인했다. 이제는 각 행렬에 대해 고유값과 고유벡터를 어떻게 찾는지, 또 이 방법으로 찾은 벡터와 고유값이 왜 미분방정식을 올바르게 푸는지에 대해 설명할 것이다.
먼저 정의부터 보면:

A를 정사각행렬에 대해 한정하는 이유는 만약 A가 정사각행렬이 아니라면 주어진 연립방정식의 해가 없거나 무한할 것이기 때문에 별 의미가 없기 때문이다. 여하튼 정의로부터 어떤 행렬에 대해 고유벡터를 찾고 고유값 또한 찾아낼 수 있다. 과정은 다음과 같다:

이제 고유값과 고유벡터가 연립 미분방정식을 올바르게 푸는 것을 보일수 있다.

3. 고유값의 성질
고유값에는 여러가지 성질들이 있는데, 그중 유용한 성질들을 소개하고자 한다.
첫번째 성질은 행렬 A의 고유값을 알면 모든 제곱 A^k, 평행이동 A+cI, A에 관한 함수로 이루어진 행렬들의 교유값 또한 알게 된다는 점이다. 아래에 정리해 두었다.
A의 고유값이 lambda이면 다음이 성립한다:
1. A^k 의 고유값은 lambda^k 이다.

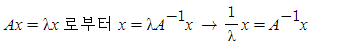
2. A^-1의 고유값은 1/lambda 이다.

3. (A+cI)의 고유값은 lambda+c 이다.

4. A에 대한 다항방정식에 대해서도 고유값을 찾을수 있다. 예를들어 A^2+3A+5I 의 고유값은 lambda^2+3lambda+5 이다.
5. 비가역 행렬의 고유값은 무조건 0이다.

6. 행렬 A의 주대각성분을 모두 더한 합(이를 대각합이라고 부르며 trace 라고도 한다.)은 고유값의 합이다.
7. 행렬식은 주어진 행렬의 고유값들의 곱이며 이는 +- (피봇들의 곱) 이기도 하다.
연습문제 30번이 성질 6,7번에 대한 제한된 증명이라(2차 정사각행렬에 대해서만 증명) 여기서 풀어보도록 하자.
(6.1절 연습문제 30번)

헷갈리는 점
이 부분은 교재에는 나와있지 않지만 그냥 궁금해서 인터넷으로 긁어온후 정리한 부분이다. 아래의 질문으로부터 시작했다: 행렬의 고유값과 고유벡터는 일대일인가?
대답이 참이려면 하나의 고유값에는 정확히 하나의 고유벡터들이 대응해야 하는데, 결론부터 말하자면 틀렸다. 하나의 고유값에는 무한개의 고유벡터들이 존재할수 있으며 그중 일부는 선형독립일수도 있다. 밑에 그 증명을 써놓았다.

그렇기 때문에 고유값과 고유벡터간의 관계를 설명하려면 다음 문장이 적절할 것 같다.(뇌피셜임) "영벡터가 아닌 하나의 고유벡터에는 반드시 하나의 고유값만 대응되며 그 역은 성립하지 않는다." 이에 대한 증명은 다음과 같다.

연습 문제
(6.1절 연습문제 13번)단위벡터 u=(1/6,1/6,3/6,5/6)에 대해 rank=1 인 행렬 P=uu^T 를 만들고 다음 질문에 답하여라.
(a)Pu=(uu^T)u=u 이다. 이때 u는 무엇인가?

(b)u에 수직인 벡터 v가 있다고 하자. Pv=0을 보여라.

(c)고유값이 0인 P의 독립적인 세 고유벡터를 찾아라.

(6.1절 연습문제 19번)정사각행렬 A에 대해 Au=0, Av=3v, Aw=5w 가 성립할 때 다음 질문에 답하여라. 0,3,5는 고유값이며 각 벡터들은 영벡터가 아니다.
(a)C(A)와 N(A)의 기저를 찾아라.

(b)Ax=v+w의 완전해를 찾아라.

'개인공부 > 선형대수학' 카테고리의 다른 글
| 행렬의 대각화 (0) | 2021.12.25 |
|---|---|
| 행렬식 (0) | 2021.12.25 |
| 선형대수의 기본정리 (2) (0) | 2021.12.25 |
| 선형대수의 기본정리(1) (0) | 2021.12.25 |
| 벡터공간의 기저와 차원 (0) | 2021.12.25 |